MOSFET

Small-Signal Parameters


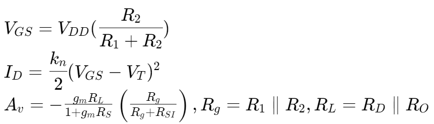
MOSFET Example 1

对于电压增益

对于输入和输出电阻

例题 1

点此查看原文