Oscillator
Device producing a continuous alternating waveform without requiring any input.
由一个放大器和一个反馈电路组成。
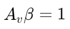
- The total loop gain must be unity

- The total phase shift at the oscillation frequency, f0, must be either

Wien Bridge Oscillator
振荡频率:
Colpitts Oscillator
振荡频率:
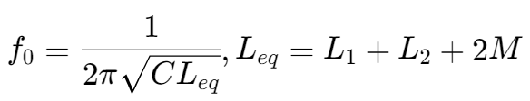
Hartley Oscillator
振荡频率: