交流电路功率 | Power in AC Circuit
推导过程:
Where
is constant part,
is time varying part.
With formula
,
Let
and
,
其中,
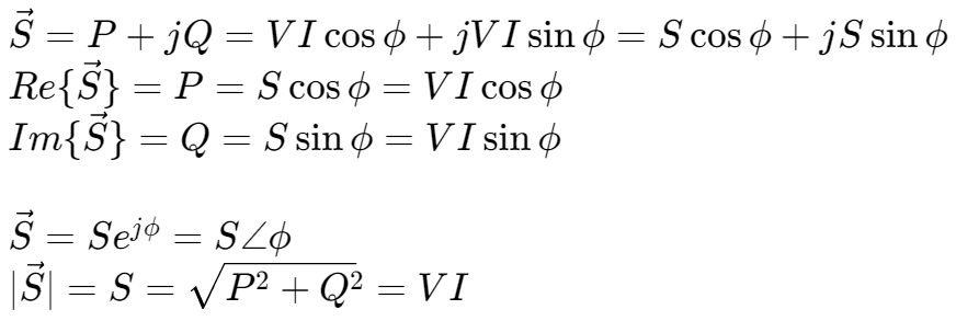
: the real power, unit: 1W
: the reactive power, unit: 1VAR(VAR: Volt Ampere Reactive)
: the apparent power, unit: 1VA(VA: Volt Ampere)
这里的
即为功率系数,,,定义了视在功率,, S 转化为实际功率,, P 的比例:

复数功率 | The Complex Power
由于电压、电流的相量和阻抗都是复数的值,所以把复数的功率定义为:

S 的复数表达是由两个复数乘积而来,其中一个是电压,另一个是电流的共轭。








