交流电路导入 | AC (sinusoidal) currents and voltages
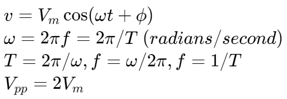
余弦波形 | Sinusoidal Signals

余弦波的相变 | The Phase of a Sinusoidal

相当于相比原函数向左位移了
seconds。
注意:
使用弧度制单位!
交流电路的平均功率
交流电路中的有效电流和有效电压:

root-mean-square(RMS) 电流和电压:

交流电路的平均功率(对于电阻):



相当于相比原函数向左位移了
seconds。
注意:
使用弧度制单位!
交流电路中的有效电流和有效电压:

root-mean-square(RMS) 电流和电压:

交流电路的平均功率(对于电阻):
