偏导数 | Partial derivatives


函数 f 对 x 的偏导数即为 f 在 x 轴方向上的变化率,同理,函数 f 对 y 的偏导数即为 f 在 y 轴方向上的变化率。
高阶偏导数 | Higher derivatives
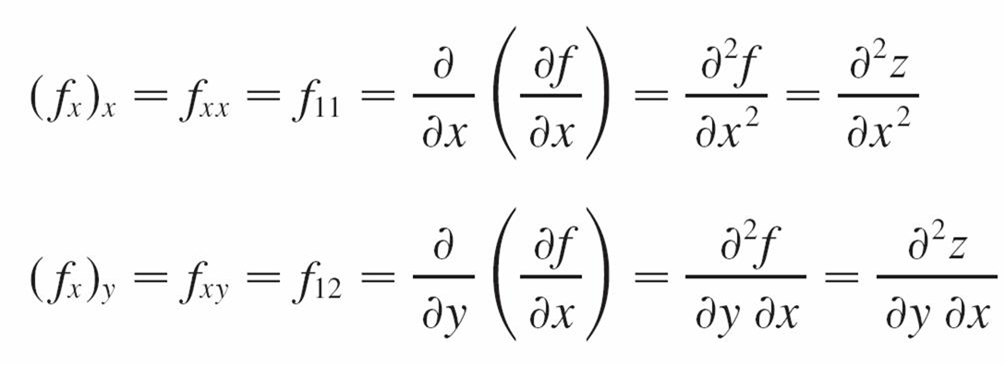
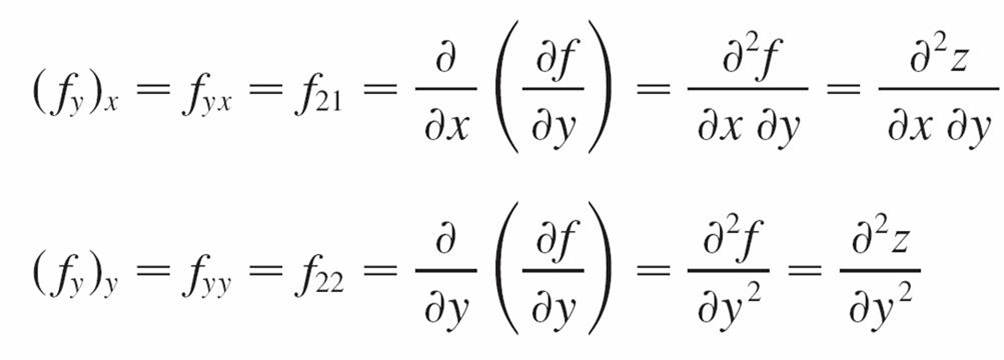
二阶偏导数写法:


克莱罗定理 - fxy = fyx 条件:
在函数 f 的定义域上,fxy 与 fyx 都连续,则 fxy = fyx。



函数 f 对 x 的偏导数即为 f 在 x 轴方向上的变化率,同理,函数 f 对 y 的偏导数即为 f 在 y 轴方向上的变化率。
二阶偏导数写法:


克莱罗定理 - fxy = fyx 条件:
在函数 f 的定义域上,fxy 与 fyx 都连续,则 fxy = fyx。
