微分器和积分器 | The Differentiator and the Integrator
微分器 | The Differentiator
Exact Differentiator:


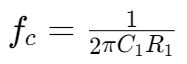
Approximate Differentiator(also high-pass filter):

cut-off voltage: 
当输入频率小于 fc 时,
当输入频率大于 fc 时,
积分器 | The Integrator
Exact Integrator:


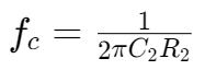
Approximate Integrator(also low-pass filter):

cut-off voltage: 
当输入频率小于 fc 时,
当输入频率大于 fc 时,