控制系统类型和稳态误差
对于不同的系统类型和不同的输入类型,在反馈为 1,, 时,对应的稳态误差:
| Step | Ramp | Acceleration | |
|---|---|---|---|
| Type 0 | ![]() | ![]() | ![]() |
| Type 1 | 0 | ![]() | ![]() |
| Type 2 | 0 | 0 | ![]() |
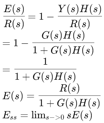
稳态误差 Ess 计算方法
设系统的输入为 R(s),输出为 Y(s),增益 G(s),反馈 H(s)
则误差为:E(s) = R(s) - Y(s)H(s)

对于不同的系统类型和不同的输入类型,在反馈为 1,, 时,对应的稳态误差:
| Step | Ramp | Acceleration | |
|---|---|---|---|
| Type 0 | ![]() | ![]() | ![]() |
| Type 1 | 0 | ![]() | ![]() |
| Type 2 | 0 | 0 | ![]() |
设系统的输入为 R(s),输出为 Y(s),增益 G(s),反馈 H(s)
则误差为:E(s) = R(s) - Y(s)H(s)
