条件概率、全概率和贝叶斯
Conditional Probability,,
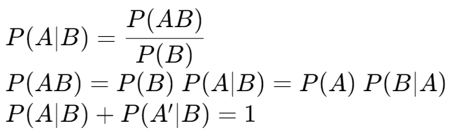
事件 B 发生后事件 A 发生的概率:

当事件 A, B 互相独立时,
Total Probability,,
设样本空间 S,其中的若干事件
互斥,且 
则事件
为 S 的 partition。
对于 S 中的任意事件 A,有 
Bayes' Theorem,,

由上可推出:


事件 B 发生后事件 A 发生的概率:

当事件 A, B 互相独立时,
设样本空间 S,其中的若干事件
互斥,且 
则事件
为 S 的 partition。
对于 S 中的任意事件 A,有 

由上可推出:

