电势 | Electric Potential
电势能 | Potential Energy

电势 | Potential

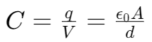
电容 | Capacity
由高斯定律可得
,
又由
,得

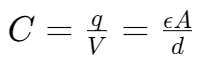
电介质 | Dielectric

: permitivity constant of material
: 相对介电常数 | relative permitivity
: 真空介电常量
由高斯定律可得,
带有电介质的电容 | Capacitors with dielectrics

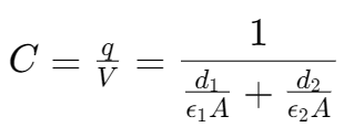
对于混合电介质的电容:



由高斯定律可得
,
又由
,得


: permitivity constant of material
: 相对介电常数 | relative permitivity
: 真空介电常量
由高斯定律可得,

对于混合电介质的电容:
