电通量 & 高斯定律 | Electric Flux & Gauss's Law
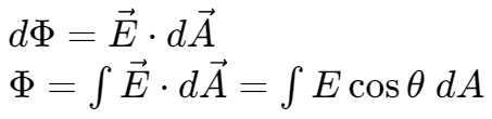
电通量 | Electric Flux


高斯定律 | Gauss's Law
对于一个点电荷,取以该点为球心,半径为 R 的球面为高斯面,其电通量

对于一条具有电荷密度
的无限长直导线,取圆柱体作为高斯面。由于延导线方向的电场分量抵消,故只需计算圆柱体侧面积。



对于一个点电荷,取以该点为球心,半径为 R 的球面为高斯面,其电通量

对于一条具有电荷密度
的无限长直导线,取圆柱体作为高斯面。由于延导线方向的电场分量抵消,故只需计算圆柱体侧面积。
