线性变换 | Linear Transformation
变换,,也可以理解为通常的函数,,或映射,,。
定义
定义一个向量
,有变换 T,使变换后向量
为原向量的像,,。
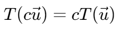
一个变换是线性变换的条件:
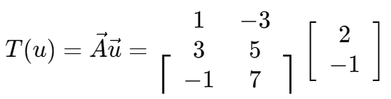
有向量
,变换定义
,此处
,
则向量 u 在变换 T 下的像为:

一个小例子
剪切变换 | Shear Transformation
对于一个
,称之为剪切变换。

对于一个标量 r,定义变换 
- 当
时,T 为收缩,, - 当
时,T 为膨胀,,
变换,,也可以理解为通常的函数,,或映射,,。
定义一个向量
,有变换 T,使变换后向量
为原向量的像,,。
一个变换是线性变换的条件:


有向量
,变换定义
,此处
,
则向量 u 在变换 T 下的像为:

对于一个
,称之为剪切变换。

对于一个标量 r,定义变换 
时,T 为收缩,,
时,T 为膨胀,,