线性相关 | Linear Dependence
齐次式 | Homogeneous Equation

线性相关判断
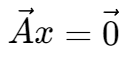
对于一个齐次式
,
若其只具有零解,则向量 A 线性无关,,;
若其具有非零解,则向量 A 线性相关,,。
由此可推出,对于零向量
,
由于
具有无穷个解,故零向量线性相关。
线性组合 | Linear Conbination
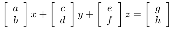
对于一组向量

对于另外一个向量
,若有一组数
使其满足:

则称向量 V 为该组向量的线性组合。
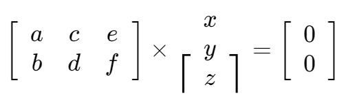
向量组的线性相关
对于上述方程,可以转化为:

将该式转化为齐次式,即

与前文相同,
若该齐次式只具有零解,则该向量组线性无关;
若该齐次式具有非零解,则该向量组线性相关。